Notice for Administrative Orders

Notice for Administrative Orders regarding WY5600187.

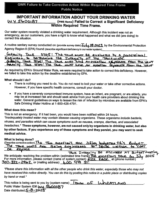
Please note the water from Town of Wheatland is safe and customers do not need to take alternative action prior to drinking.

Please contact Town Hall at 307-322-2962 with any questions. 

Emergency Alert 02-17-2026: Please be advised that Recreation Drive from Hill to Canal Streets will be closed to clean up a fallen tree. Our crews are working as fast and as safe as they can to get this opened up. Thank you for your patience and we apologize for any inconvenience.